ДомоФото
Архитектурная
фотобаза

Информация об изображении

392

Идентификатор изображения:73467
Размер файла:392 КБ
Автор:Maksimus
Опубликовано:10.02.2017 22:19 MSK
Находится на сайте, дней:3331
Уникальных просмотров:925
Комментариев:0

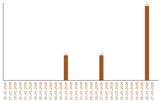
Динамика просмотров по датам