DomoPhoto
Архітэктурная
фотабаза

Iнфармацыя аб малюнку

1464

Ідэнтыфікатар малюнка:341038
Памер файла:1464 КБ
Аўтар:DartMeow
Апублікавана:24.03.2026 11:16 MSK
Знаходзіцца на сайце, дзён:2
Унікальных праглядаў:4
Каментарыяў:0

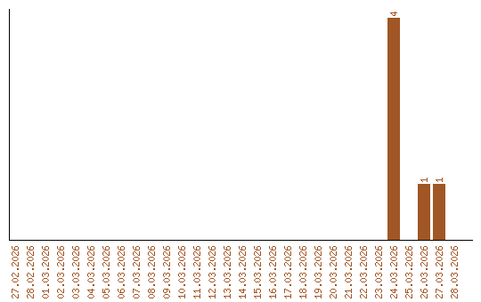
Дынаміка праглядаў па датах