DomoPhoto
Fotobaza
architektoniczna

Picture Statistics

1479

Picture ID:331551
Rozmiar pliku:1479 KB
Autor:Cat2000
Opublikowano:23.12.2025 03:39 MSK
Znajduje się na stronie, dni:59
Unique views:10
Comments:0

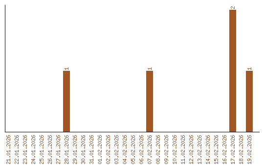
Viewing statistics by date