ДомоФото
Архитектурная
фотобаза

Информация об изображении

668

Идентификатор изображения:330698
Размер файла:668 КБ
Údar:njiin
Опубликовано:15.12.2025 09:10 MSK
Находится на сайте, дней:2
Уникальных просмотров:5
Комментариев:0

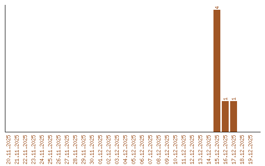
Динамика просмотров по датам