ДомоФото
Архитектурная
фотобаза

Информация об изображении

1003

Идентификатор изображения:330685
Размер файла:1003 КБ
Údar:Дмитрий Михайлов
Опубликовано:15.12.2025 02:47 MSK
Находится на сайте, дней:2
Уникальных просмотров:4
Комментариев:0

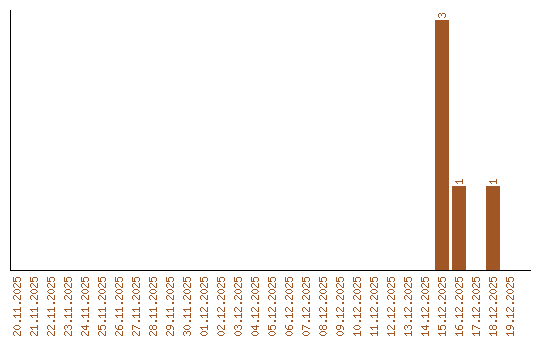
Динамика просмотров по датам