ДомоФото
Архитектурная
фотобаза

Информация об изображении

79

Идентификатор изображения:330649
Размер файла:79 КБ
Прислал:Краснодарская панелька
Опубликовано:14.12.2025 20:01 MSK
Находится на сайте, дней:102
Уникальных просмотров:68
Комментариев:0

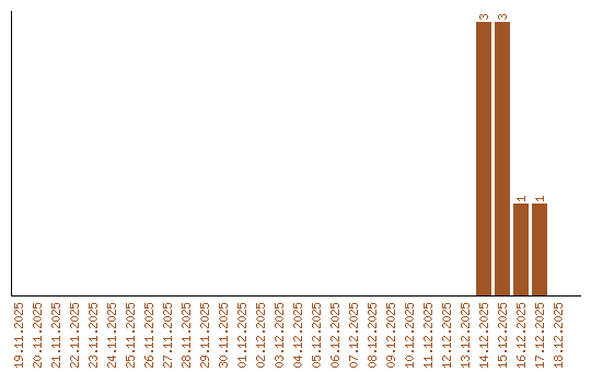
Динамика просмотров по датам