ДомоФото
Архитектурная
фотобаза

Информация об изображении

458

Идентификатор изображения:330642
Размер файла:458 КБ
Údar:Александр Зеляков
Опубликовано:14.12.2025 18:07 MSK
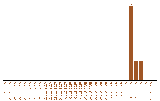
Находится на сайте, дней:2
Уникальных просмотров:5
Комментариев:0

Динамика просмотров по датам