ДомоФото
Архитектурная
фотобаза

Информация об изображении

346

Идентификатор изображения:329961
Размер файла:346 КБ
Автор:tramvaynoedepo
Опубликовано:07.12.2025 17:53 MSK
Находится на сайте, дней:98
Уникальных просмотров:43
Комментариев:3

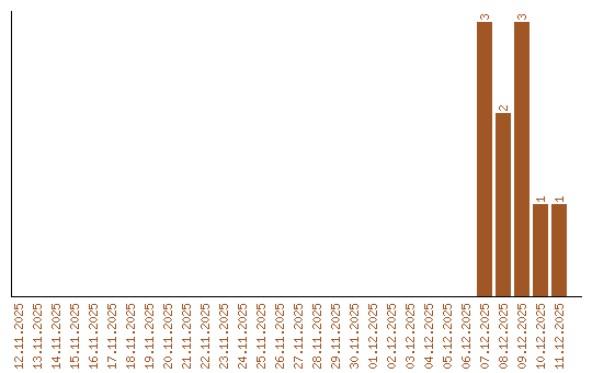
Динамика просмотров по датам