ДомоФото
Архитектурная
фотобаза

Информация об изображении

597

Идентификатор изображения:326264
Размер файла:597 КБ
Автор:Qarakez
Опубликовано:28.10.2025 20:29 MSK
Находится на сайте, дней:95
Уникальных просмотров:41
Комментариев:0

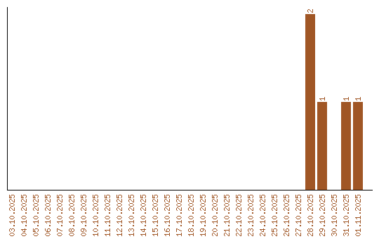
Динамика просмотров по датам